Material Safety Sheets Explain Why Uv Cure Epoxy Is Safe For Use

Material Safety Sheets Explain Why Uv Cure Epoxy Is Safe For Use

Nanopoxy- UV Cure Epoxy Repair Kit - PureGlass

Though it may be possible to measure the value of material goods in terms of money, it is extremely difficult to estimate the true value of the services which people perform for us.

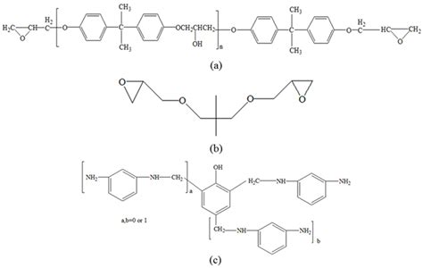
Uv Cure Epoxy Mechanism at Donald Blanton blog

Uv Cure Epoxy Mechanism at Donald Blanton blog

Uv Cure Epoxy Mechanism at Donald Blanton blog

Uv Cure Epoxy Mechanism at Donald Blanton blog

Read also: Patients Demand Perfect Anterior Dentition In New Survey

close